Техническая информация
Всякий раз, сталкиваясь с технической проблемой, связанной с колесами и ободьями тракторов и машин, Вы знаете, что решение, скорее всего, можно найти в одном из наших справочников. Однако остается вопрос: где именно?
Чтобы помочь Вам в подобных ситуациях, мы расширили комплекс технического сервиса за счет представленных в этом разделе интерактивных инструментов. Используя меню, Вы можете свободно и легко с ними работать
Брошюры с информацией о продуктах

Брошюры с информацией о продуктах
Просмотрите и загрузите все наши брошюры о продуктах для использования на сельскохозяйственной и лесной технике, чтобы подробнее узнать о наших шинах и готовых колесных решениях
Техническое руководство
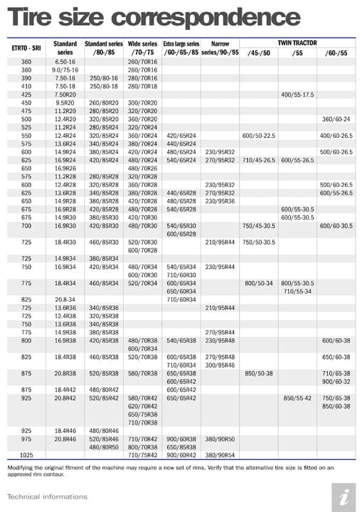
Ищите любую техническую информацию о продуктах Trelleborg, а также полезные советы по максимально эффективному использованию ваших шин

Ободья
Система двойного монтажа
Практические рекомендации
Двойные шины для лесной техники
Ознакомьтесь с новым поколением двойных шин для лесной техники, отличающихся повышенной износостойкостью, способностью работать без остановок в самых сложных условиях и обеспечивать сцепление с любыми грунтами

Общая информация о давлении
Общая информация о давлении накачки, монтаже шин для лесных машин и обращении с ними
Информация о давлении для двойных шин для лесной техники
Информация о рекомендованном давлении для двойных шин для лесной техники

Технические видео
Связаться с нами
Хотите связаться с нами? Напишите нам, и мы свяжемся с вами как можно скорее.














